Trapphus som enda utrymningsväg
Trapphus som utgör enda utrymningsväg, och är så kallade Tr1- och Tr2-trapphus enligt Boverkets byggregler BBR, ska ha tillräcklig bärförmåga för att säkerställa utrymning. Om gas finns installerat i byggnaden ska trapphuset även ha tillräcklig bärförmåga för att klara en explosionslast.
Nya byggregler från 1 juli 2025
Den 1 juli 2025 började nya byggregler att gälla.
Denna sida ger vägledning om Boverkets äldre byggregler, BBR, eller Boverkets konstruktionsregler, EKS. Under en övergångstid fram till och med 30 juni 2026 kan byggherren välja att använda dessa äldre regler.
Syftet med krav på trapphus som utgör enda utrymningsväg
Syftet med att dimensionera sådana trapphus för särskilda lastfall är att om det sker en olycka, t.ex. en explosion eller oavsiktlig stöt på trapphusets väggar eller trapplopp på ett våningsplan, ska man ändå kunna utrymma ovanför liggande våningsplan via detta enda trapphus vid en brand.
Trapphuset ska kunna användas för utrymning. Omslutande väggar och trapplopp får inte kollapsa. Dock tillåts att dörrar in till och ut ur trapphuset samt glaspartier som utgör en mindre del av trapphusets omslutande väggar, till exempel sidoljus vid dörrarna, inte klarar lasten. Det är också tillåtet med magnetuppställda dörrar.
Byggnader utan installerad gas
I byggnader som varken har installerad gas eller verksamhet med särskild risk för explosion ska trapphuset dimensioneras för en minsta last. Hur dessa laster kan antas verka på respektive del av trapphuset framgår av det allmänna rådet i EKS, Avd. C, Kap. 1.1.2, 3a §.
Storleken på de dimensioneringslaster som anges i det allmänna rådet syftar till att ge trapphusen en särskild robusthet för utrymning. Slag och stötar på väggar och trapplopp ska inte leda till att utrymningen försvåras eller omöjliggörs genom att väggar och trapplopp kollapsar eller väggarnas brandavskiljande förmåga går förlorad. För högre byggnader ställs högre krav på trapphusens robusthet eftersom konsekvenserna av en bristande funktion kan bli allvarligare.
3 a § Trapphus som är av typen Tr1 eller Tr2 och som utgör den enda utrymningsvägen ska ha tillräcklig bärförmåga för att säkerställa utrymning.
Dock ställs inga krav på bärförmåga för
- - dörrar in till och ut ur trapphuset och
- - glaspartier som maximalt utgör 10 % av trapphusets omslutande väggarea i respektive våningsplan. (BFS 2019:1).
- - Väggar: 4 kN/m2 i byggnader med högst 8 våningsplan.
- - Trapplopp och vilplan: 8 kN/m2 i byggnader med högst 8 våningsplan.
- - Väggar: 6 kN/m2 i byggnader med mer än 8 våningsplan.
- - Trapplopp och vilplan: 12 kN/m2 i byggnader med mer än 8 våningsplan.
- - dels på ovansidan,
- - dels på undersidan,
- - dels på insidan,
- - dels på utsidan.
Byggnader med installerad gas
I byggnader som har installerad gas eller verksamhet med särskild risk för explosion krävs dessutom att trapphuset, utöver ovan nämnda krav i 3 a §, klarar en explosionslast.
Av det allmänna rådet i EKS, Avd. C, Kap. 1.1.2, 3b § framgår det att dimensionering för explosionslast kan göras på två sätt, antingen genom att trapphusets väggar och trapplopp dimensioneras för en statisk last på 34 kN/m2 eller genom att en modell för naturgasexplosion tillämpas.
3 b § I byggnader där gas finns installerat eller där explosionsrisk föreligger på grund av andra installationer eller på grund av verksamhetens art ska trapphus som är av typen Tr1 eller Tr2 och som utgör den enda utrymningsvägen dimensioneras för en explosionslast. (BFS 2019:1).
Allmänt rådDimensioneringen för explosionslast kan göras antingen genom att dimensionera trapphusets väggar och trapplopp för en statisk last på 34 kN/m2 eller utifrån modell för naturgasexplosion i bilaga D i SS-EN 1991-1-7. I modell för naturgasexplosion bör ventilationstrycket, pstat, sättas till minst 5 kN/m2 om inget annat tryck kan visas vara lämpligare. Last på trapplopp antas verka både uppåt och nedåt vinkelrätt mot trapploppen och vilplanen. Last på trapphusets väggar antas verka på både insidan och utsidan. Upplag och anslutningar mellan väggar, trapplopp, vilplan och bjälklag dimensioneras för de krafter som lasten på byggnadsdelarna ger upphov till.Vid dimensionering med modell för naturgasexplosion kan explosionen antas inträffa i en brandcell där byggnadens egentliga verksamhet äger rum, till exempel i en bostadslägenhet eller i en kontorslägenhet. Ett trapphus behöver därför inte dimensioneras för en explosion som antas äga rum i trapphallen, hisschaktet, luftslussen eller inne i själva trapphuset. Om det finns en buffertzon, till exempel en trapphall mellan trapphuset och den brandcell i vilken explosionen antas inträffa, kan trycket i buffertzonen (trapphallen) reduceras. Det kan göras genom att det beräknade trycket reduceras enligt uttrycket nedan.
Förutsättningar för tillämpning av modell för gasexplosion
Som nämns ovan är alternativet till att dimensionera för en statisk last på 34 kN/m2 att tillämpa den modell för gasexplosion som finns i bilaga D i eurokoden SS-EN 1991-1-7. Den beräknade lasten för dimensionering enligt modell för gasexplosion kan sedan antingen användas som statisk last eller, om man har kännedom om den betraktade konstruktionens respons, som dynamisk last i en lämplig beräkningsmodell.
Modellen i eurokoden är avsedd att tillämpas på volymer upp till 1000 m3. För trapphus som utgör enda utrymningsväg kan modell även tillämpas för större volymer. Däremot bör inte villkoret i eurokoden beträffande förhållandet mellan ventilationsarean, till exempel fönsterarean, och brandcellens volym, A/V ≤ 0,15, överskridas när explosionstrycket beräknas. För ett större förhållande bör A/V sättas till 0,15 i beräkningsmodellen.
Nedan redovisas hur lasten på trapphuset kan beräknas genom att använda modellen för gasexplosion. Dessutom redovisas hur man vid bestämning av dimensionerande laster kan ta hänsyn till den buffert som en trapphall eller luftsluss kan utgöra mellan brandcellen där explosionen antas inträffa och trapphuset.
Explosionens läge
Den explosion som trapphuset ska dimensioneras för förväntas inträffa i en brandcell där byggnadens egentliga verksamhet äger rum, till exempel i en bostadslägenhet eller i en kontorslägenhet. Ett trapphus behöver därför inte dimensioneras för en explosion som antas äga rum i trapphallen, hisschaktet, luftslussen eller inne i själva trapphuset.
Orsak till explosionen
Orsaken till explosionen antas vara gas som antänds. Explosiv gas förutsätts kunna uppstå i de flesta sorters lokaler till exempel på grund av läckage i gasledningar, avdunstning av flyktiga vätskor eller förångning av ytbehandlingsmaterial vid en brand.
Beräkningsmodell för explosionslast enligt SS-EN 1991-1-7
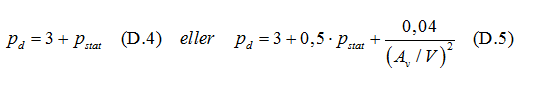
Om man känner till fönsterarean, volymen i brandcellen och vid vilket explosionstryck fönstren ger vika är det möjligt att själv beräkna explosionstrycket i brandcellen. Trycket kan då beräknas med den modell för naturgasexplosioner som ges i eurokoden SS-EN 1991-1-7, bilaga D, ekvation D.4 och ekvation D.5.
I uttrycket är pstat det så kallade ventilationstrycket, det tryck vid vilket särskilda ventilationsluckor, fönster, dörrar eller andra delar öppnas alternativt går sönder vid en explosion. Vidare är Av arean hos ventilationsluckor, fönster, dörrar eller andra delar i brandcellen som kan förväntas öppnas alternativt går sönder vid en explosion. Parametern V är volymen i den brandcell där explosionen antas ske.
Värdet på pstat bör inte väljas lägre än 5 kN/m2 om man inte har särskild kännedom om vid vilka tryck fönstren går sönder eller eventuella ventilationsluckor öppnas.
Hänsyn till en buffertzon
Om det finns en buffertzon, till exempel en trapphall mellan trapphuset och den brandcell i vilken explosionen antas uppkomma, kan trycket i buffertzonen reduceras. Det får göras genom att last enligt väsentlig bärverksdel eller det beräknade trycket reduceras enligt nedan.
Reduktionen av trycket får göras utifrån förhållandet mellan volymen i buffertzonen, V2, och volymen i brandcellen, V1, i brandcellen där explosionen antas inträffa. Storleken på explosionstrycket, P12, i den nya sammanlagda volymen V12, det vill säga brandcell inklusive buffertzon, kan beräknas enligt nedanstående ekvation.

Explosionstrycket i brandcellen, P1, kan antingen vara 34 kN/m2 om trycket enligt det allmänna råd i EKS används eller ett beräknat tryck enligt modellen i eurokoden SS-EN 1991-1-7.
För att ta hänsyn till utökad volym när explosionslasten slår in i trapphuset bör inte hela trappschaktets volym medräknas. I stället är det lämpligt att endast använda volymen för ett våningsplan. Detta eftersom tryckvågen måste passera de närmaste trapploppen innan den når en större volym av schaktet.
Eftersom trapploppen kan befinna sig antingen ovanför eller under tryckvågen ska dessa dimensioneras för både en uppåtriktad kraft och en nedåtriktad kraft.
Räkneexempel
Nedan visas två räkneexempel på hur explosionstryck och tryckreduktion för buffertzon kan beräknas. Det första exemplet avser ett kontorshus. Det andra ett bostadshus.
Kontorshus
I en byggnad finns på varje våningsplan av en kontorsdel. Denna del utgörs av en enda brandcell. Trapphuset respektive hisschaktet är egna brandceller. Utanför trapphuset finns en brandsluss/luftsluss som också den utgör en egen brandcell.
De väggar som vetter direkt mot kontorets brandcell, blåmarkerade på bilden, ska ensamma klara explosionslasten. Övriga väggar, bjälklag och dörröppningar som omsluter trapphuset ska tillsammans med intilliggande brandceller i form av hisschakt och brandsluss/luftsluss klara explosionslasten.

Kontorets golvarea är 400 m2 och fönsterarean är 25 procent av golvarean, det vill säga 100 m2. Takhöjden är 3 meter.
Utifrån dessa uppgifter kan trycket beräknas enligt ekvation D.5 i eurokoden SS-EN 1991-1-7. Utan uppgifter om vid vilket tryck fönstren går sönder används 5 kN/m2 som ventilationstryck. Det beräknade trycket på trapphusets blåmarkerade väggar blir:

Om dörrarna in till luftslussen och dörrarna in till trappschaktet inte tillsamman klarar explosionstrycket antas tryckvågen slå in i trappschaktet. Då måste även trapplopp, trapplan och deras upplag dimensioneras för explosionslasten.
Det tryck som slår in i trappschaktet kan reduceras enligt uttrycket för tillkommande volym. Om trappschaktet är fyra gånger två meter och våningshöjden är 3,3 meter, samt brandslussen är två gånger två meter kan trycket i trappschaktet beräknas till
I detta fall blir reduktionen för ökad volym inte så stor eftersom volymen hos trappschakt/brandsluss är litet i förhållande till volymen hos kontorets brandcell.
Bostadshus
I ett bostadshus finns flera bostäder på samma plan. Varje bostadslägenhet utgör en egen brandcell. Utanför trapphuset finns en trapphall mot vilket de enskilda bostäderna har sina lägenhetsdörrar. Trapphallen är en egen brandcell.
Den trapphusvägg som vetter direkt mot en bostad, blåmarkerad på bilden, ska ensam klara explosionslasten. Övriga väggar, bjälklag och dörröppningar som omsluter trapphuset ska tillsammans med intilliggande brandceller i form av hisschakt och trapphall klara explosionslasten.

Flera beräkningar av explosionstrycket kan behöva göras. Avgörande för trycket är förhållandet mellan bostadens fönsterarea och volym.
I detta exempel görs en beräkning för bostaden som gränsar direkt mot trapphuset. Bostaden har golvarean 85 m2 och fönsterarean är 15 procent av golvarean, det vill säga 12,8 m2. Takhöjden är 2,5 meter. Explosionstrycket i bostaden blir

vilket därmed är det tryck som den blåmarkerade väggen på bilden ska klara.
De trapphusväggar som vetter mot trapphallen kan dimensioneras för ett lägre tryck enligt uttrycket ovan för tillkommande volym. Om trapphallen har en golvarea på 30 m2 och en takhöjd på 2,5 meter, och med utgångspunkt i det ovan beräknade explosionstrycket, blir trycket på trapphusväggarna:

Om dörrarna in till trappschaktet inte klarar explosionstrycket antas tryckvågen slå in i trappschaktet. Då måste även trapplopp, trapplan och deras upplag dimensioneras för explosionslasten.
Om trappschaktet är fyra gånger två meter och våningshöjden är 2,7 meter kan trycket i trappschaktet beräknas till

Förbindning av trapphusets väggar, trapplopp och vilplan
Även förbindningar av trapphusets väggar, trapplopp och vilplan till övrig stomme måste dimensioneras för de lasteffekter som den beräknade explosionen ger upphov till.
Hjälpte informationen dig?
Bra att informationen hjälpte dig! Berätta gärna vad du tyckte var bra. Max 500 tecken. Observera att du inte får något svar.
Beskriv så tydligt som möjligt varför sidan inte hjälpte dig. Max 500 tecken. Observera att du inte får något svar.